Pagamento antecipado do IPVA inicia dia 8 de janeiro; confira as datas
Já na primeira quinzena de janeiro, os proprietários de veículos com finais de placa de 01 a 61 e de 71 a 91 poderão solicitar a quitação antecipada.

A Secretaria de Fazenda do Pará (Sefa) divulgou o calendário de pagamento antecipado do Imposto Sobre a Propriedade de Veículos Automotores (IPVA) para 2024. Já na primeira quinzena de janeiro, os proprietários de veículos com finais de placa de 01 a 61 e de 71 a 91 poderão solicitar a quitação antecipada, com a concessão de descontos. As datas para estes grupos serão a partir de 8 de janeiro e 15 de janeiro, respectivamente.
Conforme informa a Sefa, o pagamento antecipado do IPVA/2024 poderá ser efetuado em cota única, com pagamento integral até a data limite, ou ainda três parcelas mensais. Os descontos do imposto variam, sendo de 15% sobre o valor para os veículos que não tenham multas de trânsito nos últimos dois anos; de 10% sobre o valor para os veículos sem multas de trânsito no ano anterior; e de 5% para as demais situações.
O sistema para consulta do imposto estará disponível a partir do dia 2 de janeiro de 2024, no site da Sefa.
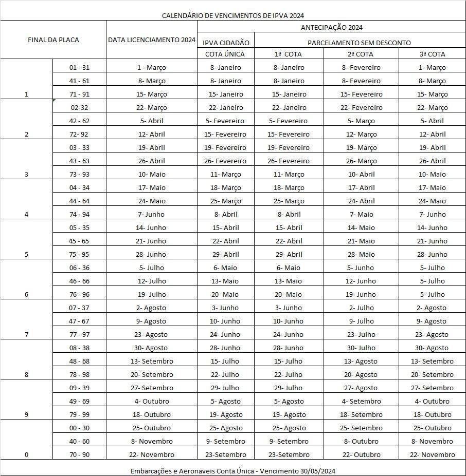
Confira o calendário:
Para o caso de pagamento do IPVA via parcelamento, o valor total do imposto poderá ser dividido em até três vezes, em meses sucessivos. Neste caso, entretanto, não há incidência de descontos. Também é possível fazer a quitação junto com o licenciamento anual junto ao Departamento de Trânsito (Detran). Já para a quitação do IPVA relativo a aeronaves e embarcações de todos os tipos, o vencimento será em 30 de junho de 2024.
VEJA MAIS
A Instrução Normativa (IN) de número 021/23, que apresenta a tabela completa de valores a partir da marca/modelo e o calendário de vencimento foi publicada na edição extra do Diário Oficial do Estado, do último dia 15 de dezembro. A edição está disponível para consulta no site da Imprensa Oficial do Estado. Para acessá-la, logo na página inicial do órgão, é necessário alterar a data para o dia 15 de dezembro no campo de busca do periódico oficial.
De acordo com a Sefa, o recolhimento antecipado do IPVA será feito através de Documento de Arrecadação Estadual (DAE), emitido no Portal de Serviços da Sefa, em www.sefa.pa.gov.br,onde será possível verificar valores, datas, gerar e imprimir o DAE, que poderá ser pago na rede arrecadadora do Estado: Banpará, Banco do Brasil, Caixa Econômica Federal (CEF), Santander, Banco da Amazônia (Basa), Bradesco e Itaú. O 0800-725-5533 é o número disponível para dúvidas.
Palavras-chave
COMPARTILHE ESSA NOTÍCIA